百家姓历史317——山氏家族简介
姓氏源流


迁徙分布

郡望堂号

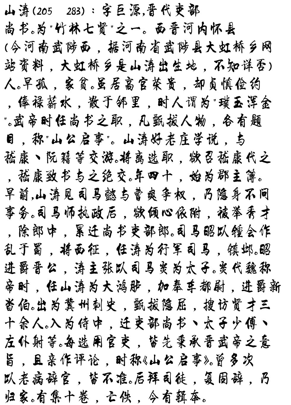
历史名人


宗祠通用联








免责声明:本文只供参考。如果您对本文有任何专业领域的建议,我们强烈建议您独自对内容的可信性进行评估,并咨询相关专业人士。
祝福语
愿我家族,子子孙孙,代代英贤。
------------------
愿我家族,五谷丰登,百业兴旺。
------------------
愿我家族,百族协和,四海鹰扬。
------------------
愿我家族,建此伟业,雄立东方。
------------------
愿我家族,承继我祖,百世绵延。
------------------
愿我家族,纵观全球,和平发展。
------------------
愿我家族,协和百族,辑睦四邻。
------------------
愿我家族,寿禄无疆,风调雨顺。
------------------
愿我家族,睦亲敬族,忠国爱乡。
------------------
愿我家族,并肩携手,共铸辉煌。
------------------
愿我家族,历马扬鞭,精诚团结。
------------------
愿我家族,上进治学,耀国显邦。
------------------
愿我家族,宗族和畅,家富国强。
------------------
愿我家族,英才代出,耕读治家。

请各位宗亲在底部留言
留言格式
姓名·地址·字辈·搬迁情况·联系方式


